Background
Although many reports have established the efficacy of post-transplantation cyclophosphamide (PTCy) or ATG for GVHD prophylaxis to in vitro non-T cell-depleted (non-TCD) haplo-HSCT and achieved a good clinical effect, the overall results of NRM, RI, DFS, and OS still need to be improved, especially for patients with high-risk or R/R hematologic malignancies. We speculated that if GVHD could be controlled well, higher doses of in vitro non-TCD peripheral blood stem cells (PBSCs) as a graft source for haplo-HSCT may be able to better balance engraftment, immune reconstitution, infection, and graft versus leukemia (GVL) effect to improve clinical outcomes. Apparently, due to the increased risk of GVHD as a major concern, the research of haplo-HSCT using ultra-high doses of in vitro non-TCD PBSCs as a graft source is now scarce. To this end, we constructed a unique haploidentical high-dose peripheral stem cell transplantation (haplo-HDPSCT) protocol. A prospective study was performed in our center using this protocol to treat patients with hematologic malignancies.
Methods
From January 2006 to December 2018, a total of 346 patients with hematologic malignancies less than 50 years old were enrolled. 205 patients who had no matched sibling donor (MSD) enrolled in the haplo-HDPSCT group, and 141 patients were enrolled in the MSD-PSCT group. Patients in two groups were comparable except for several characteristics such as more young and high-risk patients in the haplo-HDPSCT group. All patients were followed up until December 2022 with a median follow-up time of 66.1 months. The MSD-PSCT protocol was performed with the classical standard process. Our haplo-HDPSCT protocol was designed adopting high-dose in vitro non-TCD PBSCs as graft, Ara-C+Bu/Cy+rATG as the conditioning regimen, and Basiliximab plus short-term low-dose GCs added to standard GVHD prophylaxis. The long-term outcomes of the two groups were analyzed and compared. The primary endpoint was aGVHD, and the second endpoints were engraftment, infection, RI, DFS, and OS.
Results
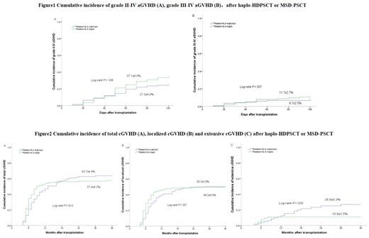
In the haplo-HDPSCT group(n=205), the infused median mononuclear cells(MNCs), CD34+ cells, and CD3+ cells were 15.63×10 8/kg, 8.59×10 6/kg and 5.39×10 8/kg, respectively, which significantly higher than those in the MSD-PSCT group(n=141). Only 3 of 205 patients in the haplo-HDPSCT group developed primary graft failure (PGF) and the primary engraftment rate was 98.5%. The incidence of grades II-IV and III-IV aGVHD within 100 days was similar between the two groups (37.1% vs. 27.3%, P=0.109; and 11.7% vs. 8.7%, P=0.507). The 3-year cumulative incidence of localized cGVHD was similar between the two groups (50.3% vs 49.3%, P=0.357), but the extensive cGVHD in the haplo-HDPSCT group was significantly lower than that in the MSD-PSCT group (10.9% vs 26.9%, P=0.035). The 3-year cumulative RI and NRM were also similar between the two groups (RI: 31.1%vs 27.3%, P=0.625; NRM: 16.1% vs 11.5%, P=0.394). No significant differences in 3- and 5-year OS (69.6% and 66.9% vs. 74.9% and 73.2%, P=0.282) or 3- and 5-year DFS (67.2% and 63.7% vs. 72.0% and 69.4%, P=0.215) were observed in the haplo-HDPSCT group and the MSD-PSCT group. The CMV disease occurrence was 3.1% in the haplo-HDPSCT group. The EBV-DNAemia rate was 10.4% in the haplo-HDPSCT group and 5.7% in the MSD-PSCT group(P=0.836). Only two patients in the haplo-HDPSCT group developed PTLD.
Conclusions
This study demonstrates that aGVHD is not high in our haplo-HDPSCT protocol and the long-term follow-up shows that this protocol may bring benefits including high engraftment rate, less relapse and viral infection, which implies that higher doses of in vitro non-TCD PBSCs as a graft source for haplo-HSCT protocol is feasible if appropriate GVHD prophylaxis is adopted.
Disclosures
No relevant conflicts of interest to declare.
